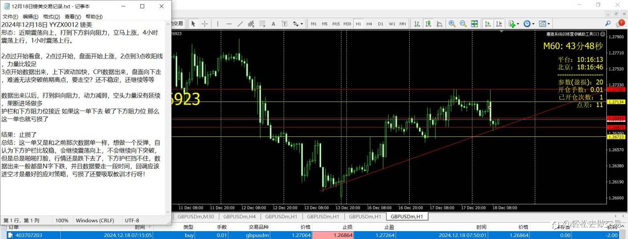
今天的盘面依旧呈现震荡下跌的趋势,我们画好下跌通道趋势线,选择开仓策略:逢高做空
护栏在今天最高点以外,进场比较稳妥
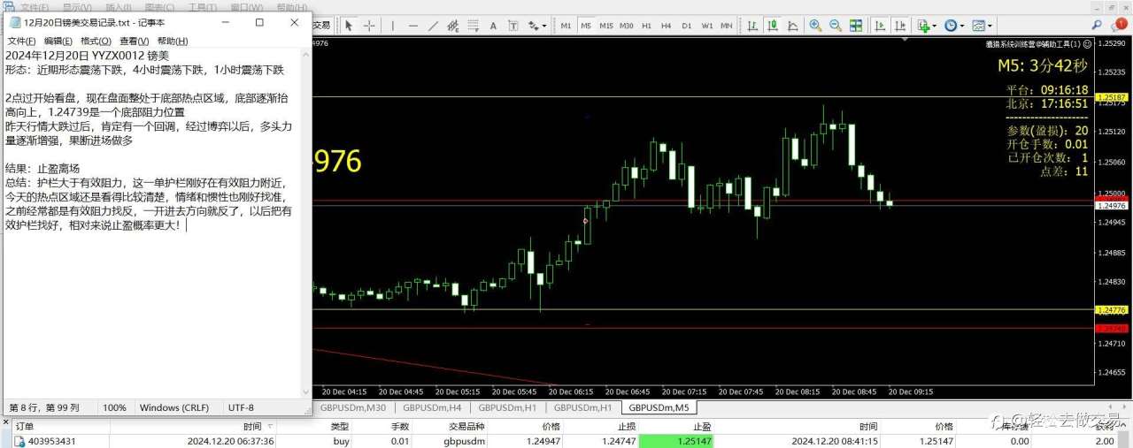
多单进场,最后止盈离场
前天没有把趋势线画清楚,导致护栏没有找好,刚好被打止损,非常可惜,今天稍微谨慎一点,趋势比较明朗,在自己预判范围以内。
还需要再反思才行,提高胜率是王道!


Tuyên bố miễn trừ trách nhiệm: Quan điểm được trình bày hoàn toàn là của tác giả và không đại diện cho quan điểm chính thức của Followme. Followme không chịu trách nhiệm về tính chính xác, đầy đủ hoặc độ tin cậy của thông tin được cung cấp và không chịu trách nhiệm cho bất kỳ hành động nào được thực hiện dựa trên nội dung, trừ khi được nêu rõ bằng văn bản.
Bạn thích bài viết này? Hãy thể hiện sự cảm kích của bạn bằng cách gửi tiền boa cho tác giả.


Để lại tin nhắn của bạn ngay bây giờ