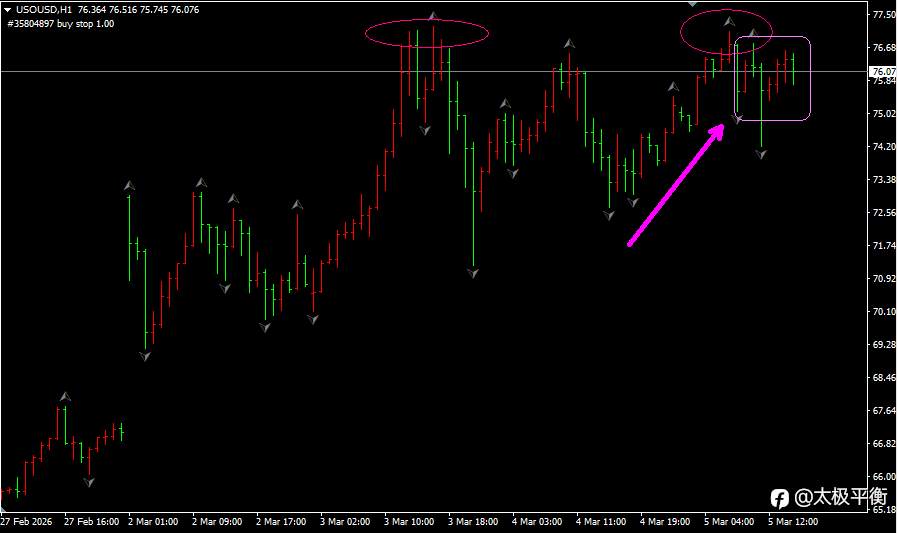
原油1小时走势图:

上方有压力(圈所示),但上涨趋势未变,目前价格在区间运行(框所示)蓄力,整体来看多头较为强劲,但需关注区间下沿跌破情况,跌破后思路会转以做空为主;
今晚大方向操作思路上:做多为主!
压力位:77.2、78.5、80.2;
支撑位:74.6、72.8、70;
操作建议:
1、挂圈高点77.07多,损75.7,目标78、79.5;

Tuyên bố miễn trừ trách nhiệm: Quan điểm được trình bày hoàn toàn là của tác giả và không đại diện cho quan điểm chính thức của Followme. Followme không chịu trách nhiệm về tính chính xác, đầy đủ hoặc độ tin cậy của thông tin được cung cấp và không chịu trách nhiệm cho bất kỳ hành động nào được thực hiện dựa trên nội dung, trừ khi được nêu rõ bằng văn bản.
Bạn thích bài viết này? Hãy thể hiện sự cảm kích của bạn bằng cách gửi tiền boa cho tác giả.

Để lại tin nhắn của bạn ngay bây giờ